当前位置: 网站首页  >  非学历培训  >  其他  >  正文

其他

职业技能等级认定2025年5月17日成绩公示

发布时间:2025-05-19   |   浏览量:

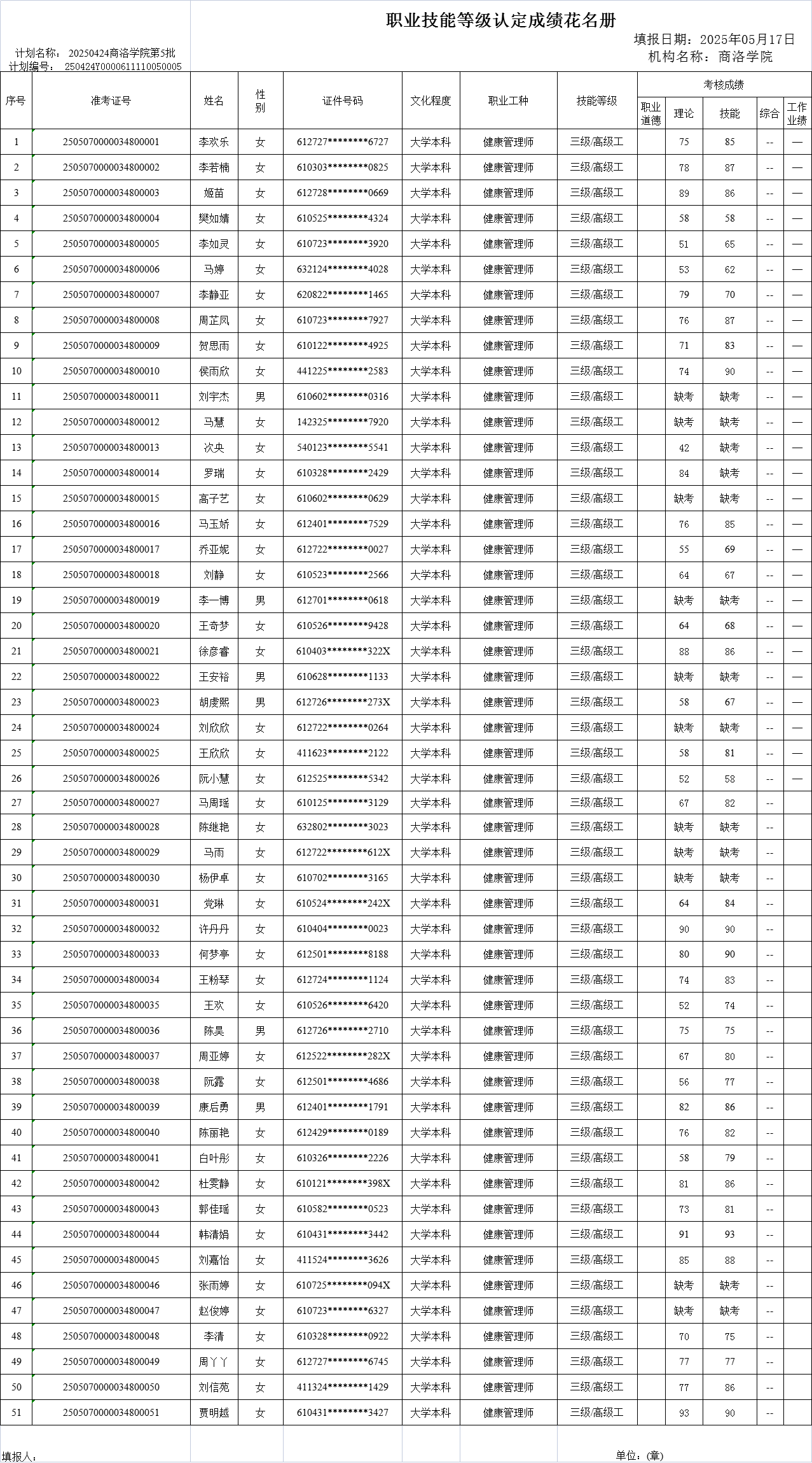
职业技能等级认定成绩公示

根据《商洛学院职业技能等级认定管理办法(试行)》相关规定,现将2025年5月17日健康管理师三级职业技能等级认定评价成绩在商洛学院继续教育学院网站进行公示。如有疑义,请与商洛学院继续教育培训中心联系。

1.网址:http://jjy.slxy.cn/

2.公示期:2025年5月19-5月25日。

3.电话:0914-2366515

附:职业技能等级认定成绩汇总表


商洛学院继续教育培训中心